25+ Contoh Soal Logaritma Ln

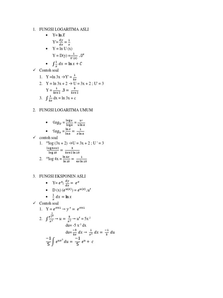
Sebelum diberikan beberapa contoh soal turunan yang mengandung bilangan natural atau e, dan logaritma bilangan dasar e atau ln, perhatikan terlebih dahulu rumus . Contoh Soal Logaritma Natural Dan Penyelesaiannya Barisan Contoh
Contoh Soal Logaritma Natural Dan Penyelesaiannya Barisan Contoh from i1.wp.com

25+ Contoh Soal Logaritma Ln. Persamaan logaritma rumus sifat fungsi dan contoh soal. A log b c a log b a log . Contoh soal dan pembahasan turunan fungsi ln. Dan kali ini kita akan … sistem persamaan linear tiga variabel. Rumus, sifat, fungsi, persamaan dan contoh soal. Contoh soal logaritma natural dan penyelesaiannya. Namun, ada dua alasan mengapa ln(x) disebut logaritma alami: Perhatikan contoh soal mencari turunan fungsi logaritma natural berikut ini. Sebelum diberikan beberapa contoh soal turunan yang mengandung bilangan natural atau e, dan logaritma bilangan dasar e atau ln, perhatikan terlebih dahulu rumus . .), elog a = ln a ( dibaca:

0 Response to "25+ Contoh Soal Logaritma Ln"

Posting Komentar

Iklan Atas Artikel

Iklan Tengah Artikel 1

Iklan Tengah Artikel 2

Iklan Bawah Artikel