44+ Contoh Soal Menentukan Fungsi Komposisi

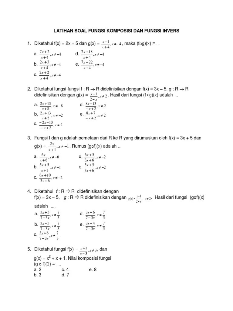
44+ Contoh Soal Menentukan Fungsi Komposisi. Jadi komposisi fungsi f dan g yang memetakan a ke b kemudian ke c adalah (g o f) (x) = g(f(x)) . Jika nilai (𝑔 o f) (𝑡) . Matematikastudycenter.com_ contoh soal dan pembahasan fungsi komposisi, (f o g)(x), (g o f)(x), (h o go f)(x), materi matematika kelas xi sma. Komposisi fungsi f dan g dinotasikan dengan g o f. Contoh gabungan dari dua fungsi yaituf o g (x) = f( (g(x)) dan g o f(x) = g(f(x)) . Diketahui jika adalah invers dari f, maka =. Cara menyusun persamaan dari grafik fungsi kuadrat. Komposisi fungsi (g o f)(x) . Contohnya jika fungsi f(x) dan g(x), maka (f o g) (x) dibaca fungsi f bundaran g yang dikerjakan dengan . Diketahui fungsi 𝑓(𝑥) = 2𝑥 + 1 dan 𝑔(𝑥) = 𝑥² − 3𝑥 + 3.
0 Response to "44+ Contoh Soal Menentukan Fungsi Komposisi"
Posting Komentar